Largura de Fissura - Modelo de Corda em Tração - Verificação

Este artigo também está disponível em:
Traduzido por IA a partir do inglês
O Modelo de Corda em Tração é um dos modelos atualmente utilizados para o cálculo da largura de fissura. O objetivo é apresentar e clarificar aos utilizadores como todos os pressupostos são implementados no âmbito do CSFM. Após a leitura deste artigo, deverá estar bem preparado para compreender a largura de fissura.

Introdução 

A força do Modelo de Corda em Tração reside na sua combinação equilibrada de realismo físico e eficiência computacional. O modelo preserva a mecânica fundamental que governa o comportamento de fissuração, nomeadamente a ação de aderência, a incompatibilidade de deformações entre a armadura e o betão, e o equilíbrio, mantendo-se adequado para fluxos de trabalho de engenharia prática.

A transferência de força axial entre a armadura e o betão é conseguida através de um mecanismo de aderência que opera por interação de corte, permitindo inerentemente o deslizamento e resultando, por isso, em deformações não compatíveis dos dois componentes.

O modelo captura ainda o comportamento distinto do betão fracamente e fortemente armado através da formulação da deformação média, que desempenha um papel determinante na avaliação do espaçamento e da largura de fissura.

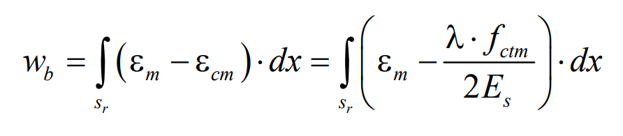
O conceito fundamental tem origem na equação (Fig. 01a) para o cálculo da largura de fissura, que é essencial para compreender todo o princípio. A deformação média nas armaduras é calculada subtraindo a parcela da deformação média de tração no betão e integrando ao longo do comprimento entre fissuras. 

inline image in article

01a) Cálculo da largura de fissura - equação essencial

O modelo IDEA StatiCa para SLS considera:

  • Elemento de aderência entre armaduras e betão 
  • Incompatibilidade dos campos de deformação das armaduras e do betão
  • A deformação média -> o enrijecimento à tração
  • Padrão de fissuração estabilizado
inline image in article

01b) Modelo de Corda em Tração - modelo mecânico e cálculo da largura de fissura

TCM - parâmetros principais

O cálculo da largura de fissura é um processo a vários níveis que ocorre em segundo plano no IDEA StatiCa Detail. Os três parâmetros principais controlam a largura de fissura:

inline image in article

02) Equações subjacentes ao fluxo de trabalho para o TCM - largura de fissura

O diagrama de material é adaptado em função da taxa de armadura em todo o modelo. Isto significa que, para diferentes taxas de armadura, é utilizado um modelo de material variável para a armadura. No presente cenário, a taxa de armadura mantém-se constante devido à redistribuição uniforme das armaduras e aos diâmetros uniformes. 

inline image in article

03) Alteração do diagrama de material para diferentes taxas de armadura

A relação entre o espaçamento de fissuras e a taxa de armadura apresenta uma tendência não linear.

inline image in article

04) Relação de dependência do espaçamento de fissuras em função da taxa de armadura efetiva

Descrição do modelo

O modelo de ensaio, meticulosamente desenvolvido para fins de avaliação, é construído utilizando uma viga com secção transversal retangular de 250 x 1000 mm e um comprimento de 4000 mm. Este modelo foi sujeito a uma força axial de 500 kN. A armadura foi estrategicamente disposta em cinco camadas distintas, distribuídas ao longo da altura da secção, sendo cada camada composta por dois varões de 16 mm de diâmetro.

inline image in article

05) Descrição do modelo

Resultados

inline image in article

06) Tensão máxima entre fissuras e deformação média nas armaduras

O espaçamento de fissuras é apresentado para o parâmetro sr0, que representa o espaçamento fundamental de fissuras sem mediação. O cálculo da largura de fissura utiliza os valores de deformação média e o espaçamento fundamental de fissuras para determinar as respetivas larguras de fissura. 

inline image in article

07) Taxa de armadura, espaçamento de fissuras e largura de fissura

inline image in article

08) Gráfico de enrijecimento à tração para o modelo atual 

Cálculo manual

inline image in article

09) Dados de entrada e deformações médias

A configuração predefinida para o cálculo da largura de fissura exclui a contribuição da resistência à tração do betão, o que diverge dos resultados documentados e publicados na literatura. A incorporação da contribuição à tração resulta numa redução da largura de fissura de aproximadamente 3,1% nas condições atuais. O IDEA StatiCa Detail não considera a contribuição da tração do betão entre fissuras para o TCM. Isto conduz a uma largura de fissura maior e a uma abordagem conservadora. 

inline image in article

10) Verificação analítica da largura de fissura

Conclusões e considerações principais

Os pressupostos fundamentais para o modelo SLS são os seguintes:

  • Elemento de aderência entre armaduras e betão 
  • Incompatibilidade dos campos de deformação das armaduras e do betão
  • A deformação média -> o enrijecimento à tração

Três parâmetros críticos influenciam a largura de fissura:

  • Taxa de armadura efetiva.
  • Valores de deformação média.
  • Espaçamento de fissuras.

Para a abordagem TCM, o pressuposto predefinido exclui a contribuição da resistência média à tração na determinação da largura de fissura. Esta abordagem diverge dos pressupostos estabelecidos na literatura, resultando numa análise mais conservadora. No entanto, a contribuição é mínima, aproximadamente 3% para o modelo atual e a classe de betão C30/37.

Transferências Anexadas

Artigos relacionados