Plasticitate în suduri în IDEA StatiCa

Acest articol este disponibil și în:
Tradus de AI din engleză
IDEA StatiCa utilizează un model de material pentru suduri care permite plasticitatea cu o limită maximă a deformației plastice de 5%. În mod firesc, apar multe întrebări legate de utilizarea acestei plasticități în suduri în IDEA.

Întrebări de genul:

  • Este permisă o distribuție plastică în suduri și este aceasta conformă cu standardul?
  • Modul în care sudurile sunt modelate în IDEA nu conduce la o rezistență prea mare?
  • Cum tratează IDEA cerințele din Cl. 4.9 din EN 1993-1-8, care stipulează că ductilitatea sudurilor nu trebuie luată în considerare?
  • Cum tratează IDEA cerința ca sudurile să fie suficient de rezistente pentru a nu se rupe înainte de curgerea generală a materialului de bază adiacent?

În acest articol oferim răspunsuri la aceste întrebări.

Comportamentul real al unei suduri

Va fi util să analizăm mai întâi comportamentul real al unei suduri. Distribuția reală a tensiunilor sau a deformațiilor într-o sudură de colț sub diverse combinații de încărcări este însă dificil de determinat cu precizie. Mai mult, proprietățile materialului din materialul de bază din apropierea sudurii și din sudura propriu-zisă nu pot fi considerate omogene. Prin urmare, pentru a înțelege comportamentul la cedare al sudurilor, au fost efectuate la nivel mondial un număr mare de teste experimentale.

Considerăm, de exemplu, următoarea îmbinare prin suprapunere încărcată în direcție longitudinală. Similar îmbinărilor cu șuruburi încărcate în direcție longitudinală, distribuția tensiunilor nu va fi uniformă. Cu toate acestea, calitativ se poate indica cum ar fi distribuția tensiunilor. Cele mai mari tensiuni apar la capete.

inline image in article

Figura 1 - Distribuție neuniformă a tensiunilor de forfecare într-o îmbinare prin suprapunere

La creșterea în continuare a încărcării, se constată că sudura prezintă capacitate de deformare și că poate apărea curgerea locală (Figura 2).

inline image in article

Figura 2 - Distribuție neuniformă a tensiunilor de forfecare cu curgere locală într-o îmbinare prin suprapunere

Metoda Eurocode

Diferite configurații de suduri și combinații de încărcări pot conduce la distribuții diferite ale tensiunilor. O abordare semi-empirică a fost aleasă ca bază pentru regulile de calcul din Eurocode. În loc să se verifice mecanismul de cedare la scară microscopică, sudurile în ansamblu sunt verificate la scară macroscopică. A fost adoptat un model simplificat de cedare, bazat pe plasticitate. Prin raportare la rezultatele testelor experimentale, a fost determinat un criteriu de cedare (formula sudurii).

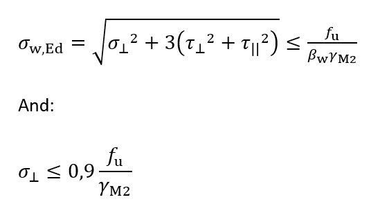
EN 1993-1-8 Cl. 4.5.3 descrie două metode pentru determinarea rezistenței de calcul a sudurilor de colț: metoda direcțională și metoda simplificată. Metoda simplificată este o variantă simplificată a metodei direcționale. În metoda direcțională, forțele transmise pe unitatea de lungime a sudurii sunt descompuse în componente paralele și transversale față de axa longitudinală a sudurii, respectiv normale și transversale față de planul gâtului sudurii. Valoarea de calcul a rezistenței sudurii este suficientă dacă ambele ecuații de mai jos sunt satisfăcute:

inline image in article

Unde:

σtensiunea normală perpendiculară pe gâtul sudurii
τtensiunea de forfecare perpendiculară pe axa sudurii
τ ||tensiunea de forfecare paralelă cu axa sudurii
furezistența nominală la tracțiune a elementului mai slab îmbinat
βwfactorul de corelație în funcție de rezistența la tracțiune a materialului de bază
γM2factor parțial de siguranță pentru șuruburi și suduri = 1,25

 
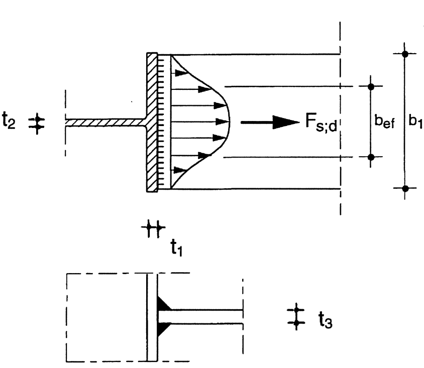
În calculul sudurilor structurilor solicitate static, este permisă asumarea unei distribuții uniforme a tensiunilor pe grosimea și pe lungimea sudurii. Aici se presupune implicit, de asemenea, că pot apărea deformații plastice pentru a permite redistribuirea tensiunilor. Capacitatea de deformare necesară crește odată cu creșterea lungimii sudurii. Deformația ultimă este totuși considerată limitată, astfel că în anumite situații va trebui luată în considerare o lățime efectivă beff, de exemplu într-o îmbinare în care o placă transversală (sau talpa unei grinzi) este sudată pe o talpă nerigidizată a unui profil I (Figura 3).

inline image in article

Figura 3 - Lățimea efectivă a unui rost T nerigidizat

Metoda CBFEM

Prin contrast, în abordarea CBFEM (Component Based Finite Element Model) utilizată în IDEA StatiCa, o sudură este compusă din mai multe elemente mai mici alăturate. Grosimea sudurii, poziția și orientarea acesteia sunt luate în considerare. Tensiunile și deformațiile din fiecare element pot varia între ele. Prin urmare, în model se dezvoltă automat o distribuție neuniformă a tensiunilor, mai realistă decât distribuția uniformă idealizată conform codurilor (Figura 4).

inline image in article

Figura 4 - Tensiuni în plăci și suduri într-o îmbinare grindă-stâlp sudată în IDEA

Scopul modelului de material aplicat în IDEA nu este însă de a reproduce perfect realitatea. Tensiunile reziduale sau contracția la sudare sunt neglijate. Modelul de material cu valoarea sa limită a deformației plastice este ales astfel încât rezistența totală a sudurii într-un model IDEA să corespundă bine cu rezistența conform codurilor. Pentru a realiza acest lucru, IDEA StatiCa a efectuat numeroase validări. În cartea CBFEM (scrisă de prof. Frantisek Wald et al. de la Universitatea Tehnică Cehă din Praga) și în cercetările ulterioare, au fost realizate un număr mare de comparații între diferite tipuri de suduri calculate în IDEA și calculate conform codurilor sau suduri solicitate în experimente (a se vedea Figura 5). Pe site-ul nostru pot fi găsite multe documente de validare pe această temă - verificări centru de suport

inline image in article

Figura 5 - Diagrame tensiune de forfecare - deformație din experimentele lui Kleiner (2018) comparate cu CBFEM

Aceasta demonstrează că limita de deformație utilizată conduce la o rezistență totală sigură a sudurii, care corespunde bine și cu rezistența calculată conform codurilor relevante. Acesta este motivul pentru care redistribuția plastică în suduri în modelul IDEA este considerată acceptabilă. Fără plasticitate în suduri, nu s-ar putea atinge niciodată rezistența calculată manual conform codurilor.

Cerințe suplimentare din EN 1993-1-8 art. 4.9

EN 1993-1-8 în Cl. 4.9(4)-(6) prevede cerințe suplimentare pentru sudurile din îmbinări. Ideea din spatele acestor reguli este că o îmbinare trebuie să fie împiedicată să cedeze fără avertizare suficientă. Chiar dacă se poate demonstra că pot apărea deformații plastice în suduri și că sudura este în principiu suficient de rezistentă pentru a prelua forțele care apar și care sunt determinate într-un calcul general (static), poate fi totuși cazul că forțele care apar sunt mai mari decât cele așteptate și ar putea conduce la cedarea îmbinării în ansamblu fără avertizare suficientă. Aceasta deoarece alungirile totale dintr-o sudură pot fi totuși mici în sens absolut. Un efect de avertizare suficient poate fi obținut prin proiectarea îmbinării astfel încât placa conectată să poată curge înainte ca sudura să se rupă. Acest lucru poate fi realizat prin aplicarea unui raport minim grosime sudură/grosime placă. Prin urmare, IDEA StatiCa include verificări de alcătuire constructivă pentru a verifica dacă o sudură din model are o grosime suficientă pentru o grosime dată a plăcii.

Regula specifică implementată de IDEA pentru aceasta se bazează pe Cl. 6.9(4) din versiunea concept a noului Eurocode în curs de elaborare (FprEN 1993-1-8:2023(E)), care prevede că, pentru a asigura ductilitate suficientă, sudura trebuie proiectată astfel încât rezistența sa să fie cel puțin egală cu:

  • 1,1 fy/fu ori rezistența de calcul a plăcii conectate mai slabe
  • dar nu trebuie să depășească rezistența de calcul a plăcii conectate mai slabe

Presupunând următorul exemplu standard de rost T (Figura 6):

inline image in article

Figura 6 - Rost T cu forță normală acționând pe placa conectată egală cu forța de curgere a plăcii

unde mărimea Fs,d este aleasă astfel încât Fs,d = fy,plate ∙ t ∙ l, aceasta conduce la derivarea următoarei formule utilizate pentru verificarea de alcătuire constructivă în IDEA pentru suduri de colț bilaterale:

inline image in article

Unde:

agrosimea sudurii
tgrosimea plăcii conectate
fy,platelimita de curgere a plăcii conectate
fu,platerezistența la tracțiune a plăcii conectate
fu,weldrezistența la tracțiune a sudurii
βwfactorul de corelație în funcție de rezistența la tracțiune a materialului de bază
γM2factor parțial de siguranță pentru șuruburi și suduri = 1,25
γM0factor parțial de siguranță pentru rezistența plăcii = 1,0

 
Pentru următoarele clase standard de oțel, aceasta conduce la următoarele rapoarte minime grosime sudură – grosime placă (Tabelul 1).

Tabelul 1 - Grosimea minimă a sudurii pentru ductilitate

Clasa de oțel1,1 ∙ fy,plate/fu,plateGrosimea minimă a sudurii
S2350,72a ≥ 0,33 ∙ t
S2750,70a ≥ 0,34 ∙ t
S3550,80a ≥ 0,46 ∙ t

 
Pentru sudurile de colț unilaterale, valoarea derivată trebuie înmulțită cu 2. Utilizatorul IDEA va primi un avertisment atunci când grosimea sudurii aplicate nu satisface valoarea minimă (Figura 7). Utilizatorul va primi, de asemenea, un mesaj de eroare atunci când sudurile sunt aplicate cu grosimea gâtului mai mică de 3,0 mm, ceea ce nu este permis conform EN 1993-1-8 Cl. 4.5.2(2).

inline image in article

Figura 7 - Avertisment la aplicarea unei grosimi prea mici a sudurii în IDEA

 
Cu toate acestea, pot exista situații în care se poate argumenta că nu este necesar să se satisfacă cerința de grosime minimă a sudurii în scopuri de ductilitate. De exemplu, sudurile unei îmbinări cu placă de bază de stâlp care transmit în principal forțe de compresiune. Sau dacă s-ar putea demonstra că există un alt element în structura globală care ar ceda oricum cu avertizare suficientă. Programul trebuie considerat întotdeauna ca un instrument; revine inginerului să utilizeze raționamentul său profesional pentru a lua o decizie informată cu privire la proiectul final.