Oszloptalp: Üreges szelvényű oszlop

Ez a cikk a következő nyelveken is elérhető
Angol nyelvről mesterséges intelligencia fordította

8.4 Üreges szelvényű oszlop

8.4.1 Leírás

Az alábbiakban az üreges szelvényű oszloptalphoz alkalmazott komponens alapú végeselem-módszer (CBFEM) komponens módszerrel (CM) való összehasonlítása kerül bemutatásra. A nyomott oszlop legalább 3. osztályú keresztmetszetként van méretezve. Az érzékenységvizsgálat az oszlop méretére, a talplemez méreteire, a beton minőségére és a betonblokk méreteire terjed ki. Négy komponens aktiválódik: az oszlop övlemeze és gerince nyomásban, a beton nyomásban a habarcsréteggel együtt, a horgonycsavar húzásban és a hegesztések. Ez a vizsgálat főként két komponensre összpontosít: a beton nyomásban a habarcsréteggel együtt és a horgonycsavar húzásban.

inline image in article

8.4.1 ábra Négyzetes üreges szelvény többlineáris interakciós diagramjának jellemző pontjai

8.4.2 Teherbírás ellenőrzése

A következő példában az SHS 150×16 négyzetes üreges szelvényű oszlop egy betonblokkhoz csatlakozik, amelynek területi méretei \( a' = 750 \, \texttt{mm} \), \( b' = 750 \, \texttt{mm} \), magassága \( h = 800 \, \texttt{mm} \), C20/25 betonminőségből, S420 acélból készült talplemezzel, amelynek méretei \( a = 350 \, \texttt{mm} \), \( b = 350 \, \texttt{mm} \), \( t = 20 \, \texttt{mm} \). A horgonycsavarok 4 × M20, As = 245 mm2, fejátmérő a = 60 mm, 8.8 acélból, felső eltolás 50 mm, bal oldali eltolás -20 mm. A habarcsréteg vastagsága 30 mm.

Az analitikus megoldás eredményei jellemző pontokkal ellátott interakciós diagramként kerülnek bemutatásra. A −1, 0, 1, 2 és 3 pontok részletes leírása a 8.4.1 ábrán látható, lásd (Wald, 1995) és (Wald et al., 2008), ahol a −1 pont a tiszta húzóerőt, a 0 pont a tiszta hajlítónyomatékot, az 1–3 pontok a kombinált nyomóerőt és hajlítónyomatékot, a 4 pont pedig a tiszta nyomóerőt jelöli.

A CBFEM-ben feszítő erők lépnek fel tiszta húzóterhelés esetén, míg a CM-ben nem keletkeznek feszítő erők, mivel a teherbírás az 1–2-es tönkremeneteli módra korlátozódik, lásd (Wald et al., 2008). A feszítő erők miatt a teherbírás különbsége kb. 10 %. Azoszloptalpra vonatkozó numerikus modell a 8.4.2 ábrán látható. A CBFEM eredményei a beton feletti kontaktfeszültség-eloszlással kerülnek bemutatásra a 0 és 3 pontokra, amelyek a 8.4.3 és 8.4.4 ábrán láthatók, és az interakciós diagramon a 8.4.5 ábrán kerülnek összehasonlításra.

inline image in article

8.4.2 ábra Az SHS 150x16 szelvényű oszlop oszloptalpja és a talplemez kiválasztott hálója

inline image in article

8.4.3 ábra CBFEM eredmények a 0 pontra, pl. tiszta hajlítónyomaték

inline image in article

8.4.4 ábra CBFEM eredmények a 3 pontra, pl. nyomóerő és hajlítónyomaték

inline image in article

8.4.5 ábra A CBFEM és CM által előrejelzett teherbírás összehasonlítása az interakciós diagramon az SHS 150×16 keresztmetszetű oszlop oszloptalpjára

8.4.3 Érzékenységvizsgálat

Az érzékenységvizsgálat az oszlop keresztmetszetének méretére, a talplemez méreteire, a beton minőségére és a betonblokk méreteire terjed ki. A vizsgált oszlopok: SHS 150×16, SHS 160×12,5 és SHS 200×16. A talplemez területi méretei 100 mm-rel, 150 mm-rel és 200 mm-rel nagyobbak az oszlop keresztmetszeténél. A talplemez vastagsága 10 mm, 20 mm és 30 mm. Az alapblokk C20/25, C25/30, C30/37 és C35/45 betonminőségből készül, minden esetben 800 mm magassággal, és területi méretei 100 mm-rel, 200 mm-rel, 300 mm-rel és 500 mm-rel nagyobbak a talplemez méreteinél. Egy paramétert változtattak, míg a többit állandón tartották. A paramétereket a 8.4.1 táblázat foglalja össze. A sarokvarrat vastagsága a = 12 mm. A megfelelő minőségű habarcsréteg csomóponti együtthatója βj = 0,67. Az acéllemezek S420 anyagból készülnek, M20 8.8 osztályú horgonycsavarokkal, minden esetben 300 mm beágyazási mélységgel.

8.4.1 táblázat Kiválasztott paraméterek

Oszlop keresztmetszetSHS 150×16SHS 16×12,5SHS 200×16
Talplemez eltolás, mm100150200
Talplemez vastagság, mm102030
BetonminőségC20/25C30/37C35/45
Betonblokk eltolás, mm100300500

Az oszlop keresztmetszetének érzékenységvizsgálatához C20/25 betonminőséget, 20 mm talplemez vastagságot, 100 mm talplemez eltolást és 200 mm betonblokk eltolást alkalmaztak az oszlopszelvény változó paramétereivel. A CBFEM és a CM analitikus modell összehasonlítása a 8.4.6 ábrán látható interakciós diagramokon kerül bemutatásra.

inline image in article

8.4.6 ábra A CBFEM és CM eredményeinek összehasonlítása különböző oszlop keresztmetszetekre

A talplemez eltolás érzékenységvizsgálatához az SHS 200×16 oszlop keresztmetszetet, C25/30 betonminőséget, 20 mm talplemez vastagságot és 200 mm betonblokk eltolást választottak. Az interakciós diagramok összehasonlítása a 8.4.7 ábrán látható. A legjelentősebb különbség a nagy talplemez tiszta húzásra vonatkozó teherbírásában mutatkozik, ahol a CBFEM elemzésekben jelentős feszítő erők léptek fel, amelyeket az analitikus tervezés korlátoz.

inline image in article

8.4.7 ábra A CBFEM és CM eredményeinek összehasonlítása különböző talplemez eltolásokra

A talplemez vastagság érzékenységvizsgálatához az SHS 200×16 oszlop keresztmetszetet, C25/30 betonminőséget, 100 mm talplemez eltolást és 200 mm betonblokk eltolást választottak. A vizsgálatban 10 mm, 20 mm és 30 mm talplemez vastagságokat alkalmaztak. Az interakciós diagramok összehasonlítása a 8.4.8 ábrán látható. A legnagyobb különbség a vékony talplemez tiszta húzásra vonatkozó teherbírásában mutatkozik, ahol a CBFEM elemzésekben jelentős feszítő erők léptek fel, amelyeket a CM analitikus tervezés korlátoz.

inline image in article

8.4.8 ábra A CBFEM és CM eredményeinek összehasonlítása különböző talplemez vastagságokra

A betonminőség érzékenységvizsgálatához az SHS 150×16 oszlop keresztmetszetet, 20 mm talplemez vastagságot, 100 mm talplemez eltolást és 200 mm betonblokk eltolást választottak. A vizsgálatban C20/25, C30/37 és C35/45 betonminőségeket alkalmaztak. Az interakciós diagramok összehasonlítása a 8.4.9 ábrán látható.

inline image in article

8.4.9 ábra A CBFEM és CM eredményeinek összehasonlítása különböző betonminőségekre

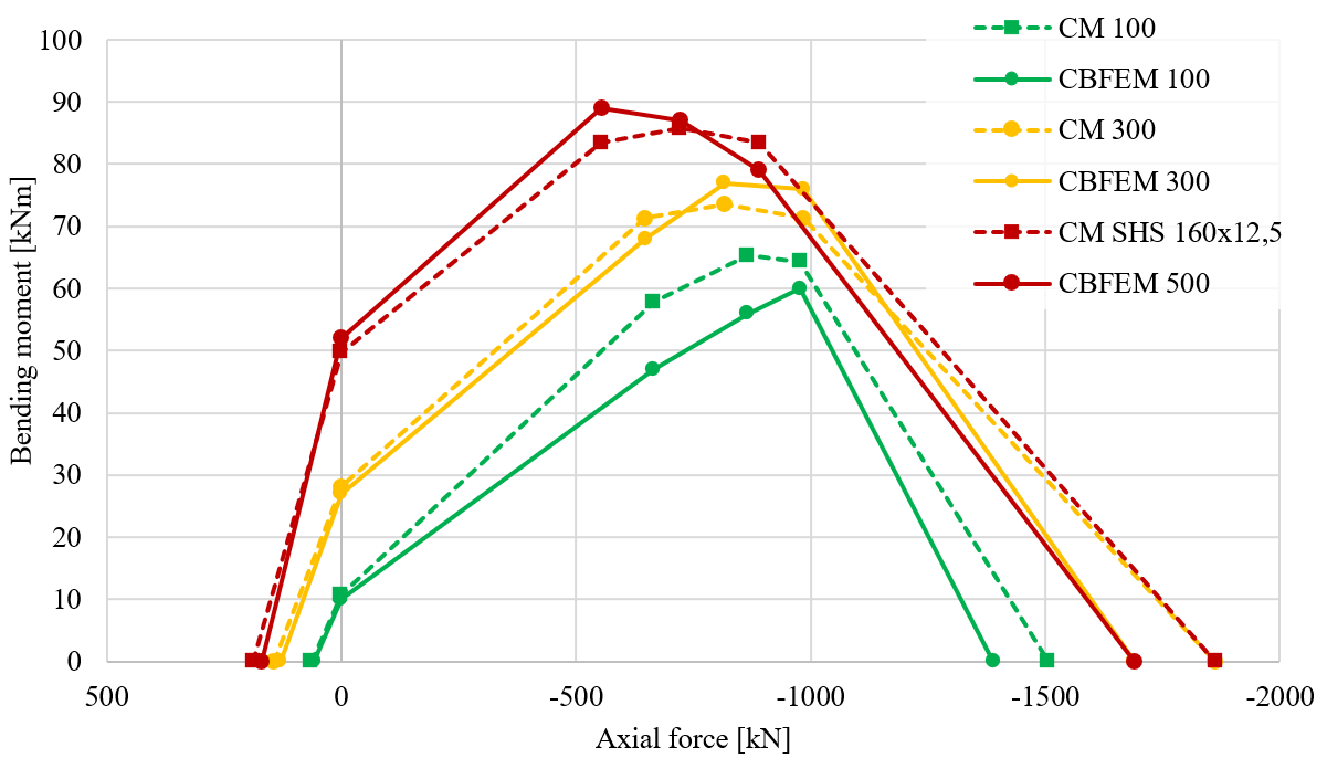
A betonblokk eltolás érzékenységvizsgálatához az SHS 160×12,5 oszlop keresztmetszetet, 20 mm talplemez vastagságot, 100 mm talplemez eltolást és C25/30 betonminőséget választottak. A vizsgálatban 100 mm, 300 mm és 500 mm betonblokk eltolásokat alkalmaztak. Az interakciós diagramok összehasonlítása a 8.4.10 ábrán látható.

inline image in article

8.4.10 ábra A CBFEM és CM eredményeinek összehasonlítása különböző betonblokk eltolásokra

Az oszloptalpra vonatkozó teherbírás CBFEM és CM általi előrejelzésének különbségei főként abban rejlenek, hogy a CBFEM figyelembe veszi a feszítő erőket, míg a CM az EN 1993-1-8:2005 szerint elkerüli azokat.

8.4.2 táblázat A CBFEM és CM interakciós diagramjának összehasonlítása

Különbség
CBFEM/CM
-1 pont0 pont1 pont2 pont3 pont4 pont
Maximum %100 %105 %107 %105 %112 %93 %
Minimum %69 %71 %81 %84 %89 %88 %

8.4.4 Benchmark eset

Bemeneti adatok

Oszlop keresztmetszet

  • SHS 150/16
  • S420 acél

Talplemez

  • Vastagság 20 mm
  • Eltolás felül 100 mm, balra 100 mm
  • Hegesztések – tompahegesztés
  • S420 acél

Horgonyok

  • M20 8.8.
  • Lehorgonyzási hossz 300 mm
  • Eltolás felső rétegek 50 mm, bal rétegek −20 mm
  • Nyírási sík a menetben

Alapblokk

  • C20/25 beton
  • Eltolás 200 mm
  • Mélység 800 mm
  • Nyíróerő átadása súrlódással
  • Habarcsréteg vastagsága 30 mm

Terhelés

  • Tengelyirányú erő N = −762 kN
  • Hajlítónyomaték My = 56 kNm

Kimeneti adatok

    • Lemezek \(\epsilon = 0,6 \, \% \)
    • Horgonycsavarok 97,8 %; \(N_{Ed,g} = 65,7 \, \texttt{kN} \le N_{Rd,c} = 67,2 \, \texttt{kN} \) (mérvadó komponens: betonkúp kiszakadás az A1 és A2 horgonycsoport esetén)
    • Betonblokk 91,5 % ( \( \sigma = 24,5 \, \texttt{MPa} \le f_{jd} = 26,8 \, \texttt{MPa} \) )
    • Szekanciális forgási merevség \( S_{js} = 6,3 \, \texttt{MNm/rad} \)