RCS API - Gevoeligheidsstudie van wapening

Dit artikel is ook beschikbaar in:
Dit voorbeeld toont meerdere functies van de nieuwe RCS API. Met een bestaande doorsnede met vooraf ingestelde afmetingen en belasting, kun je wapening toevoegen of wijzigen om de invloed ervan op het gedrag van de doorsnede te analyseren.

De API wordt aangestuurd via de programmeertaal Python. De referentie is terug te vinden op IDEA StatiCa Git-Hub.

Overzicht van stappen

  1. Pas een wapeningstemplate toe op de geselecteerde doorsnede
  2. Voer de berekening uit
  3. Extraheer de resultaten die je wilt controleren uit de berekening
  4. Voeg de resultaten toe aan een dataframe, dat je kunt gebruiken om in een grafiek uit te zetten
inline image in article

Installaties

IDEA StatiCa RCS Client is een component van IDEA StatiCa. RCS staat voor Reinforced Concrete Sections en de RCS Client is een onderdeel van de toepassing dat zich richt op het analyseren en controleren van het gedrag van gewapend betonnen doorsneden onder verschillende belastingsomstandigheden.

Belangrijkste kenmerken van IDEA StatiCa RCS Client:

  1. Doorsnede Analyse: Hiermee kunnen ingenieurs doorsneden van betonnen elementen analyseren, rekening houdend met complexe interacties tussen beton en wapening. Dit kan niet-lineair gedrag, scheurvorming en andere fenomenen omvatten.
  2. Conformiteit met de norm: De RCS Client controleert het ontwerp aan de hand van verschillende internationale codes en zorgt ervoor dat de doorsneden voldoen aan de veiligheids- en prestatienormen.
  3. Interactiediagrammen: Het kan interactiediagrammen genereren voor verschillende belastingscombinaties, zodat ingenieurs begrijpen hoe een doorsnede zich gedraagt onder verschillende belastingsomstandigheden (bijv. axiale belasting gecombineerd met buigmomenten).
  4. Resultaat visualisatie: De software biedt gedetailleerde visualisaties van spanning-rekverdelingen, scheurpatronen en meer, zodat ingenieurs de resultaten gemakkelijk kunnen interpreteren en begrijpen.
  5. Integratie met andere modules: De RCS Client kan samenwerken met andere IDEA StatiCa modules, zoals die voor staalverbindingen of betonnen liggers, waardoor een uitgebreide ontwerp- en analyseomgeving ontstaat.
  6. Automatisering en API: De RCS Client kan worden geïntegreerd in workflows met behulp van de API, waardoor geautomatiseerde analyse of integratie met andere software tools mogelijk wordt.
inline image in article
inline image in article

Open het bestaande project en vraag doorsnededetails op

  1. Open het model "Project2.IdeaRcs" in IDEA StatiCa RCS.
  2. Haal de gegevens op uit de Extreme in IDEA StatiCa Navigator (als er meer dan één snede is gedefinieerd, wordt rekening gehouden met alle Extremes)
inline image in article
inline image in article

Voer een loop uit over de templates, berekening en resultaten

  1. Doorsnedeselectie voor analyse
  2. Templates die worden gebruikt voor de analyse
  3. Berekening van alle varianten
  4. Resultaten afdrukken
inline image in article

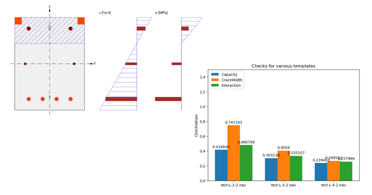
De uitvoer plotten (matplotlib)

inline image in article
inline image in article

Je hebt vaardigheid opgedaan in het gebruik van de API voor RCS om batchanalyses uit te voeren op de templates in IDEA StatiCa RCS.

Voorbeeldbestanden

Gerelateerde artikelen